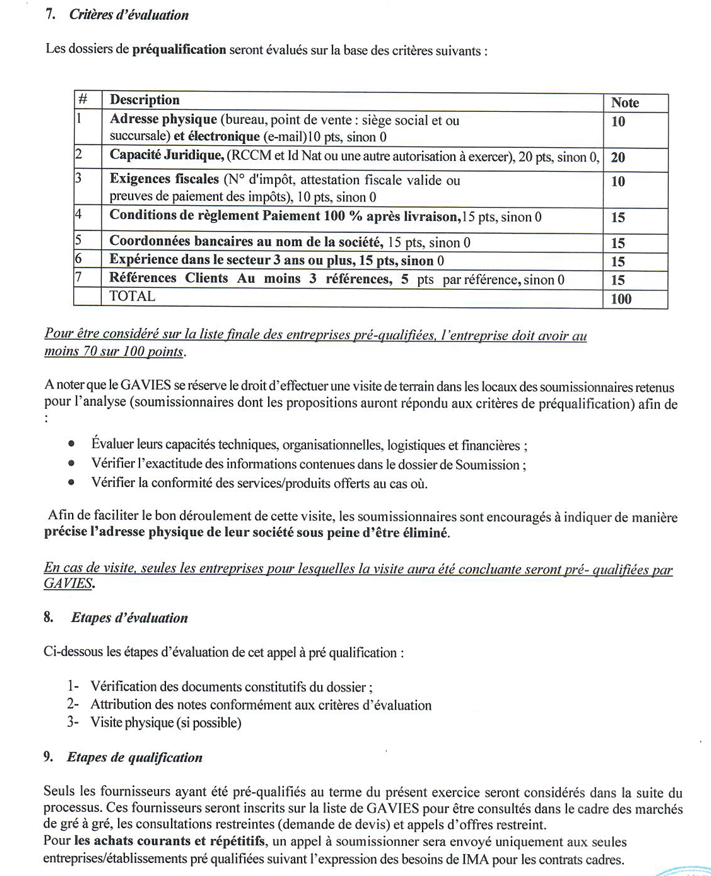
Pré-qualification / Enregistrement des Fournisseurs

Cliquez ici pour télécharger le DOCUMENT complet - format PDF

Kinshasa
https://www.mediacongo.net/pics/mediacongo.png
2026-03-23
Recherche
  Home Actualités Petites annonces Offres d’emploi Appels d’offres Publireportages C'est vous qui le dites Medias & tendances Immobilier Recherche Contact



Infos congo - Actualités Congo - Femme - Mars 2026
mediacongo
 
Retour à la liste

APPEL D'OFFRES


Pré-qualification / Enregistrement des Fournisseurs

Publié le 09/12/2025 | Réf. MCN : AOF42576
Ajouter aux favoris
Lieu

Kinshasa ()

Organisme

GAVIES Asbl

Description

Cliquez ici pour télécharger le DOCUMENT complet - format PDF

right
Appel d'offres suivant Acquisition de matériels et équipements médicaux et non-médicaux
left
Appel d'offres précédent Mission complète de maîtrise d’œuvre pour les travaux de réhabilitation et de construction d’instituts supérieurs et d’universités dans les villes de Kinshasa (lot 1), Kisangani (lot 2), Lubumbashi et Kolwezi (lot 3)
Infos congo - Actualités Congo - Rawbank 17 décembre Infos congo - Actualités Congo - Katesha Inter - 28052024 Infos congo - Actualités Congo - Congo Biz-Up 28 mai 2024


Ils nous font confiance

Infos congo - Actualités Congo - confiance